জ্বালানি তেলের সরবরাহ নিয়ে চিন্তিত নয় বিপিসি

মো. নজরুল ইসলাম
মো. নজরুল ইসলাম

জ্বালানি তেলের চাহিদা পূরণে হিমশিম খাচ্ছে বাংলাদেশ পেট্রোলিয়াম করপোরেশন (বিপিসি)। ডলার সংকটে ব্যাংকে ঋণপত্র (এলসি) খুলতে না পারা এবং বিশ্ববাজারে জ্বালানি তেলের উচ্চমূল্য এই সংকট তৈরি করেছে। বিপিসির সবশেষ হিসাব বলছে, তাদের ডিজেলের মজুদ ৩০ দিনে নেমে এসেছে।

বিপিসি সূত্র জানিয়েছে, পরিকল্পনা অনুযায়ী আগামী আগস্টে ৩ লাখ ৮০ হাজার মেট্রিক টন জ্বালানি তেলের চাহিদার বিপরীতে ১৯ জুলাই পর্যন্ত ঋণপত্র খুলতে পেরেছে মাত্র ১ লাখ মেট্রিক টনের।

তবে, বিপিসির একজন কর্মকর্তা দ্য ডেইলি স্টারকে বলেন, 'ডিজেলের মজুদ কিছুটা কমেছে। তবে বেশ কিছু জাহাজ ইতোমধ্যেই আসতে শুরু করেছে। আন্তর্জাতিক বাজারেও দাম কমছে। ফলে সামনে আমদানি আরও বাড়বে।'

তিনি বলেন, 'স্বাভাবিক সময়ে ৪০-৪৫ দিনের ডিজেলের মজুদ থাকে।'

এ ছাড়া, বর্তমান মজুদ ও দৈনিক জ্বালানি তেল বিক্রির পরিসংখ্যান বিশ্লেষণে দেখা গেছে, দেশে পেট্রলের মজুদ আছে ১৩ দিনের এবং অকটেনের ১১ দিনের। 

তবে, বিপিসির কর্মকর্তাদের মতে, স্বাভাবিক সময়েও মজুদের পরিমাণ এর চেয়ে খুব বেশি থাকে না। জ্বালানি তেলের সরবরাহ স্বাভাবিক আছে। এটি উদ্বিগ্ন হওয়ার মতো কোনো পরিস্থিতি নয়।

এদিকে, বিপিসির চেয়ারম্যানের হিসাবে মজুদের পরিমাণ আরেকটু বেশি। সরবরাহ স্বাভাবিক আছে উল্লেখ করে এ বি এম আজাদ দ্য ডেইলি স্টারকে বলেন, 'বর্তমান বৈশ্বিক পরিস্থিতির মধ্যেও বিপিসির আন্তর্জাতিক এবং অভ্যন্তরীণ সরবরাহ লাইন স্বাভাবিক আছে। বর্তমানে দেশে ২০ দিনের পেট্রল, ৩৪-৩৫ দিনের ডিজেল এবং ৪০ দিনের অকটেন মজুদ আছে। জ্বালানি তেল আমদানি স্বাভাবিক রাখতে সরকার সচেষ্ট রয়েছে।'

তিনি বলেন, 'জ্বালানি তেল দেশের অগ্রাধিকারভিত্তিক পণ্য। তাই এ ব্যাপারে সরকার যথাযথ ব্যবস্থা নেবে। বর্তমান বিশ্ব পরিস্থিতিতে জ্বালানি তেল নিয়ে কেউ কেউ গুজব ছড়ানোর চেষ্টা করছে। বিপিসি এ ব্যাপারে সতর্ক আছে। জ্বালানি তেল নিয়ে যেন কেউ অবৈধ মজুদ গড়ে তুলতে না পারে।'

বিপিসির কর্মকর্তারা জানান, দেশে ডিজেলের মজুদ ক্ষমতা ৬ লাখ মেট্রিক টনের বেশি। অকটেন মজুদ ক্ষমতা ৪৬ হাজার মেট্রিক টন, পেট্রল ৩২ হাজার মেট্রিক টন, কেরোসিন ৪২ হাজার মেট্রিক টন। আর ফার্নেস অয়েল মজুদ রাখা যায় ১ লাখ ৫০ হাজার মেট্রিক টন।

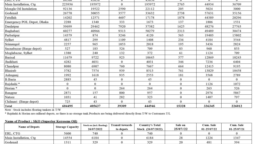
আর পরিসংখ্যান বলছে, বর্তমানে দেশে ডিজেলের মজুদ আছে ৪ লাখ ৫ হাজার মেট্রিক টন, ফার্নেস অয়েল প্রায় ৮২ হাজার ৮০০ মেট্রিক টন। অকটেন মজুদ আছে ১৪ হাজার ৩০০ মেট্রিক টন, জেড ফুয়েল ৫৮ হাজার ৭০০ মেট্রিক টন, পেট্রল প্রায় ১৭ হাজার ৬০০ মেট্রিক টন এবং কেরোসিন আছে ১৩ হাজার ৪০০ মেট্রিক টন।

তবে, ডিপোতে মজুদের অপেক্ষায় থাকা জ্বালানি তেলের হিসাব এতে অন্তর্ভুক্ত হয়নি।

বিপিসির নিয়ন্ত্রণাধীন পদ্মা, মেঘনা ও যমুনা অয়েল কোম্পানির বিভিন্ন ডিপোতে এবং ইস্টার্ন রিফাইনারিতে এসব জ্বালানি তেল সংরক্ষণ করা হয়।

এদিকে চলতি মাসের ২৫ দিনের জ্বালানি তেল বিক্রির পরিসংখ্যান বিশ্লেষণে দেখা যায়, বর্তমানে দেশে দৈনিক ডিজেলের চাহিদা প্রায় ১৩ হাজার ৪৫৩ মেট্রিক টন। ফার্নেস অয়েলের চাহিদা দৈনিক ২ হাজার ৫০০ মেট্রিক টন। অকটেন চাহিদা ১ হাজার ৩০০ মেট্রিক টন।

আর পেট্রলের চাহিদা ১ হাজার ৪০০ মেট্রিক টন। জেট ফুয়েলের চাহিদা দৈনিক ১ হাজার ৪০০ মেট্রিক টন।

এই হিসাবে, দেশে ১৩ দিনের পেট্রল, ১১ দিনের অকটেন ও ৩০ দিনের ডিজেল মজুদ আছে।

দেশে মোট ব্যবহৃত জ্বালানির মধ্যে ডিজেল ৭৩ শতাংশ, পেট্রল ৬ শতাংশ, অকটেন ৪ দশমিক ৮ শতাংশ ও ফার্নেস অয়েল ৮ দশমিক ৮ শতাংশ ব্যবহার হয়।

কর্মকর্তারা বলছেন, পেট্রলের বেশিরভাগটাই দেশের অভ্যন্তরীণ উৎস থেকে মেটানো হয়। এর সঙ্গে আমদানির সম্পর্ক নেই।

সরকার বিদ্যুৎ উৎপাদনে ডিজেলের ব্যবহার বন্ধের ঘোষণা দেওয়ার আগে অর্থাৎ গত ১৭ জুলাই ডিজেলের বিক্রি হয়েছে ২০ হাজার ৮০০ মেট্রিক টন। সরকারি এই ঘোষণার পর একদিনের ব্যবধানে ডিজেল বিক্রি কমেছে প্রায় ৭ হাজার ২০০ মেট্রিক টন। 

জ্বালানি মন্ত্রণালয়ের কর্মকর্তারা নাম প্রকাশ না করার শর্তে বলেন, বিপিসির পরিকল্পনা অনুযায়ী আগামী আগস্ট মাসে ডিজেল আমদানি করা হবে সাড়ে ৩ লাখ মেট্রিক টন, অকটেন আমদানির পরিকল্পনা রয়েছে ৫০ হাজার মেট্রিক টন এবং জেট ফুয়েল আনা হবে ৫০ হাজার মেট্রিক টন। কিন্তু চলতি মাসের মাঝামাঝি পর্যন্ত ডিজেল আমদানির জন্য বিপিসি বিভিন্ন ব্যাংকে মাত্র ৩টি ঋণপত্র (এলসি) খুলতে পেরেছে। এই ৩টি এলসির বিপরীতে প্রায় ১ লাখ মেট্রিক টন ডিজেল আমদানি করা হবে।

জ্বালানি তেল আমদানি প্রসঙ্গে বিপিসির পরিচালক (অপারেশন ও বাণিজ্য) খালিদ আহম্মেদ দ্য ডেইলি স্টারকে বলেন, 'বিদেশি কোম্পানিগুলোর সঙ্গে বিপিসির চুক্তি অনুযায়ী জ্বালানি তেলের সরবরাহ লাইন এখনো স্বাভাবিক আছে। সরকার চাইছে দেশে জ্বালানি তেলের ব্যবহার ২০ থেকে ৩০ শতাংশ কমাতে। এই লক্ষ্যে আমরা (বিপিসি) কাজ করছি। ইতোমধ্যে সরকার বিদ্যুৎ সেক্টরে জ্বালানি তেলের ব্যবহার কমিয়েছে। পরিবহন সেক্টরেও জ্বালানি তেলের ব্যবহার কমানোর পরিকল্পনা আছে।'

দেশের বিভিন্ন ডিপোতে বাংলাদেশ পেট্রোলিয়াম করপোরেশনের (বিপিসি) মজুদ, বিক্রি ও ট্রানজিট পজিশনের হিসাব। 

stock-f-001.jpg

 

তারিখ অনুযায়ী বিক্রির হিসাব, জুলাই ২০২২

2.png

stock-22.jpg